Accessibility Statement Skip Navigation
  • PRNewswire.com
  • Resources
  • +91 22-69790010
  • Client Login
  • Send a Release
PR Newswire: news distribution, targeting and monitoring
  • News
  • Products
  • Contact
When typing in this field, a list of search results will appear and be automatically updated as you type.

Searching for your content...

No results found. Please use Advanced Search to search all press releases.
  • News in Focus
      • Browse News Releases

      • All News Releases
      • All Public Company
      • Multimedia Gallery

      • All Multimedia
      • All Photos
      • All Videos
  • Business & Money
      • Auto & Transportation

      • Aerospace & Defense
      • Air Freight
      • Airlines & Aviation
      • Automotive
      • Maritime & Shipbuilding
      • Railroads & Intermodal Transportation
      • Supply Chain/Logistics
      • Transportation, Trucking & Railroad
      • Travel
      • Trucking & Road Transportation
      • View All Auto & Transportation

      • Business Technology

      • Blockchain
      • Broadcast Tech
      • Computer & Electronics
      • Computer Hardware
      • Computer Software
      • Data Analytics
      • Electronic Commerce
      • Electronic Components
      • Electronic Design Automation
      • Financial Technology
      • High Tech Security
      • Internet Technology
      • Nanotechnology
      • Networks
      • Peripherals
      • Semiconductors
      • View All Business Technology

      • Entertain­ment & Media

      • Advertising
      • Art
      • Books
      • Entertainment
      • Film & Motion Picture
      • Magazines
      • Music
      • Publishing & Information Services
      • Radio & Podcast
      • Television
      • View All Entertain­ment & Media

      • Financial Services & Investing

      • Accounting News & Issues
      • Acquisitions, Mergers & Takeovers
      • Banking & Financial Services
      • Bankruptcy
      • Bond & Stock Ratings
      • Conference Call Announcements
      • Contracts
      • Cryptocurrency
      • Dividends
      • Earnings
      • Earnings Forecasts & Projections
      • Financing Agreements
      • Insurance
      • Investments Opinions
      • Joint Ventures
      • Mutual Funds
      • Private Placement
      • Real Estate
      • Restructuring & Recapitalisation
      • Sales Reports
      • Shareholder Activism
      • Shareholder Meetings
      • Stock Offering
      • Stock Split
      • Venture Capital
      • View All Financial Services & Investing

      • General Business

      • Awards
      • Commercial Real Estate
      • Corporate Expansion
      • Earnings
      • Environmental, Social and Governance (ESG)
      • Human Resource & Workforce Management
      • Licensing
      • New Products & Services
      • Obituaries
      • Outsourcing Businesses
      • Overseas Real Estate (non-US)
      • Personnel Announcements
      • Real Estate Transactions
      • Residential Real Estate
      • Small Business Services
      • Socially Responsible Investing
      • Surveys, Polls & Research
      • Trade Show News
      • View All General Business

  • Science & Tech
      • Consumer Technology

      • Artificial Intelligence
      • Blockchain
      • Cloud Computing/Internet of Things
      • Computer Electronics
      • Computer Hardware
      • Computer Software
      • Consumer Electronics
      • Cryptocurrency
      • Data Analytics
      • Electronic Commerce
      • Electronic Gaming
      • Financial Technology
      • Mobile Entertainment
      • Multimedia & Internet
      • Peripherals
      • Social Media
      • STEM (Science, Tech, Engineering, Math)
      • Supply Chain/Logistics
      • Wireless Communications
      • View All Consumer Technology

      • Energy & Natural Resources

      • Alternative Energies
      • Chemical
      • Electrical Utilities
      • Gas
      • General Manufacturing
      • Mining
      • Mining & Metals
      • Oil & Energy
      • Oil & Gas Discoveries
      • Utilities
      • Water Utilities
      • View All Energy & Natural Resources

      • Environ­ment

      • Conservation & Recycling
      • Environmental Issues
      • Environmental Policy
      • Environmental Products & Services
      • Green Technology
      • Natural Disasters
      • View All Environ­ment

      • Heavy Industry & Manufacturing

      • Aerospace & Defence
      • Agriculture
      • Chemical
      • Construction & Building
      • General Manufacturing
      • HVAC (Heating, Ventilation & Air-Conditioning)
      • Machinery
      • Machine Tools, Metalworking & Metallurgy
      • Mining
      • Mining & Metals
      • Paper, Forest Products & Containers
      • Precious Metals
      • Textiles
      • Tobacco
      • View All Heavy Industry & Manufacturing

      • Telecomm­unications

      • Carriers & Services
      • Mobile Entertainment
      • Networks
      • Peripherals
      • Telecommunications Equipment
      • Telecommunications Industry
      • VoIP (Voice over Internet Protocol)
      • Wireless Communications
      • View All Telecomm­unications

  • Lifestyle & Health
      • Consumer Products & Retail

      • Animals & Pets
      • Beers, Wines & Spirits
      • Beverages
      • Bridal Services
      • Cannabis
      • Cosmetics & Personal Care
      • Fashion
      • Food & Beverages
      • Furniture & Furnishings
      • Home Improvement
      • Household, Consumer & Cosmetics
      • Household Products
      • Jewellery
      • Non-Alcoholic Beverages
      • Office Products
      • Organic Food
      • Product Recalls
      • Restaurants
      • Retail
      • Supermarkets
      • Toys
      • View All Consumer Products & Retail

      • Entertain­ment & Media

      • Advertising
      • Art
      • Books
      • Entertainment
      • Film & Motion Picture
      • Magazines
      • Music
      • Publishing & Information Services
      • Radio & Podcast
      • Television
      • View All Entertain­ment & Media

      • Health

      • Biometrics
      • Biotechnology
      • Clinical Trials & Medical Discoveries
      • Dentistry
      • FDA Approval
      • Fitness/Wellness
      • Health Care & Hospitals
      • Health Insurance
      • Infection Control
      • International Medical Approval
      • Medical Equipment
      • Medical Pharmaceuticals
      • Mental Health
      • Pharmaceuticals
      • Supplementary Medicine
      • View All Health

      • Sports

      • General Sports
      • Outdoors, Camping & Hiking
      • Sporting Events
      • Sports Equipment & Accessories
      • View All Sports

      • Travel

      • Amusement Parks & Tourist Attractions
      • Gambling & Casinos
      • Hotels & Resorts
      • Leisure & Tourism
      • Outdoors, Camping & Hiking
      • Passenger Aviation
      • Travel Industry
      • View All Travel

  • Policy & Public Interest
      • Policy & Public Interest

      • Animal Welfare
      • Corporate Social Responsibility
      • Economic News, Trends & Analysis
      • Education
      • Environmental
      • European Government
      • Labour & Union
      • Natural Disasters
      • Not For Profit
      • Public Safety
      • View All Policy & Public Interest

  • People & Culture
      • People & Culture

      • Aboriginal, First Nations & Native American
      • African American
      • Asian American
      • Children
      • Diversity, Equity & Inclusion
      • Hispanic
      • Lesbian, Gay & Bisexual
      • Men's Interest
      • People with Disabilities
      • Religion
      • Senior Citizens
      • Veterans
      • Women
      • View All People & Culture

  • Explore Our Platform
  • Plan Campaigns
  • Create with AI
  • Distribute Press Releases
  • Report Results
  • Amplify Content
  • All Products
  • General Inquiries
  • Worldwide Offices
  • Hamburger menu
  • PR Newswire: news distribution, targeting and monitoring
  • Send a Release
    • Telephone

    • +91 22-69790010 from 9 AM - 5:30 PM IST

    • Contact
    • Contact

      +91 22-69790010
      from 9 AM - 5:30 PM IST

  • When typing in this field, a list of search results will appear and be automatically updated as you type.

  • Request More Information
  • Journalists
  • News in Focus
    • Browse All News
    • Multimedia Gallery
  • Business & Money
    • Auto & Transportation
    • Business Technology
    • Entertain­ment & Media
    • Financial Services & Investing
    • General Business
  • Science & Tech
    • Consumer Technology
    • Energy & Natural Resources
    • Environ­ment
    • Heavy Industry & Manufacturing
    • Telecomm­unications
  • Lifestyle & Health
    • Consumer Products & Retail
    • Entertain­ment & Media
    • Health
    • Sports
    • Travel
  • Policy & Public Interest
    • Policy & Public Interest
  • People & Culture
    • People & Culture
  • Request More Information
  • Journalists
  • Explore Our Platform
  • Plan Campaigns
  • Create with AI
  • Distribute Press Releases
  • Report Results
  • Amplify Content
  • All Products
  • Request More Information
  • Journalists
  • General Inquiries
  • Worldwide Offices
  • Request More Information
  • Journalists

Saksoft Limited: 9MFY19 Revenues at Rs. 264 Crs, a Growth of 27% Y-o-Y


News provided by

Saksoft Limited

14 Feb, 2019, 13:43 IST

Share this article

Share toX

Share this article

Share toX

CHENNAI, February 14, 2019 /PRNewswire/ --

- 9MFY19 Revenues at Rs. 264 Crs, a growth of 27% Y-o-Y

Continue Reading
Financials (PRNewsfoto/Saksoft Limited)
Financials (PRNewsfoto/Saksoft Limited)
Operational Metrics (PRNewsfoto/Saksoft Limited)
Operational Metrics (PRNewsfoto/Saksoft Limited)

- 9MFY19 EBITDA at Rs. 42 Crs, Surpasses FY18 EBITDA 

- 9MFY19 PAT at Rs. 28 Crs, Surpasses FY18 PAT 

Saksoft Limited (BSE: 590051) (NSE: SAKSOFT), announced its un-audited financial results for the Quarter and Nine months ended 31st December, 2018.

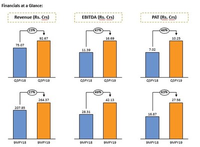
     (Photo: https://mma.prnewswire.com/media/821986/Saksoft_Financials.jpg )
     (Photo: https://mma.prnewswire.com/media/821987/Saksoft_Operational_Metrics.jpg )

Commenting on the results and performance Aditya Krishna, Chairman & Managing Director of Saksoft Ltd said: "We are pleased with our performance for 9M FY19.  We have delivered a Revenue growth of over 27%, EBIDTA growth of close to 50% and Net Profit growth of over 60% compared to the same period last year. Our domain-based sales focus has helped us win new logos for the business and the tight alignment of the delivery business units with focus on improving utilization levels and reducing average delivery cost has resulted in the improved margins."

Result Highlights Q3FY19 on Y-o-Y basis: 

Revenue Growth of 23.44%  

  • The Company recorded Revenue of Rs. 92.67 Crs during Q3FY19, as against Rs. 75.07 Crs in Q3FY18 a growth of 23.44%. 

EBITDA growth of 46.53%   

  • EBIDTA for the quarter stood at Rs. 16.69 Crs higher by 46.53% as compared to Q3FY18 of Rs. 11.39 Crs. EBIDTA margins expanded by 284 bps to 18.01% as compared to Q3FY18.

Profitability growth of 46.01%  

  • The Company recorded a PAT margin (before minority interest) of 11.06% higher by 170 bps as compared to Q3FY18. PAT (before minority interest) for the quarter stood at Rs. 10.25 Crs with a growth of 46.01% Y-o-Y.

Result Highlights 9MFY19 on Y-o-Y basis:

Revenue Growth of 27.19%  

  • The Company recorded Revenue of Rs. 264.37 Crs during 9MFY19, as against Rs. 207.85 Crs in 9MFY18 a growth of 27.19%.

EBITDA growth of 48.81%   

  • EBITDA for the 9MFY19 stood at Rs. 42.13 Crs as against Rs. 28.31 Crs in 9MFY18 an increase of 48.81%. EBIDTA margins stood at 15.93% as compared to 13.62% for 9MFY18 an increase of 231 basis points. 

Profitability growth of 63.36%  

  • PAT (before minority interest) for the 9MFY19 stood at Rs. 27.56 Crs as against Rs. 16.87 Crs in 9MFY18 an increase of 63.36%. PAT margin grew by 231 bps as compared to 9MFY18. PAT margins for the 9MFY19 stood at 10.42%. 
  
CUSTOMER METRICS                                                         9MFY19           FY18
(a) No of clients/customers per Million Dollar **
Revenue more than 1 Million Dollar                                          6               5
Revenue more than 0.5 Million Dollar                                        7               7

(b) Client's Contribution to Revenue   
Revenue from Top 5                                                         45%              42%
Revenue from Top 10                                                        52%              49%
Revenue from Top 20                                                        60%              57%

HEADCOUNT METRICS                                                        9MFY19           FY18
(a) Headcount & Utilization
Total Employee Count                                                      1,126           1,025
Technical                                                                   990             897
Support                                                                     136             128
(b) Utilization-IT Services
Excluding trainees                                                          85%             85%
About Saksoft Limited

Saksoft Limited is a leading player in providing digital transformation solutions to help businesses stay relevant in a highly connected, rapidly evolving world. Saksoft is a niche technology specialist that provides a comprehensive suite of business transformation, information management, application development and testing services. Saksoft helps their clients level the playing field by helping them transform their business spaces. Saksoft is headquartered in Chennai (India), and has 14 offices across the USA, Europe and Asia employing over 1000+ people. For more information, please visit http://www.Saksoft.com

Safe Harbor Statement 

Statements in this document relating to future status, events, or circumstances, including but not limited to statements about plans and objectives, the progress and results of research and development, potential project characteristics, project potential and target dates for project related issues are forward-looking statements based on estimates and the anticipated effects of future events on current and developing circumstances. Such statements are subject to numerous risks and uncertainties and are not necessarily predictive of future results. Actual results may differ materially from those anticipated in the forward-looking statements. The company assumes no obligation to update forward-looking statements to reflect actual results changed assumptions or other factors.

For further information, please contact
CIN: L72200TN1999PLC054429
Mr. Niraj Kumar Ganeriwal
Chief Financial Officer - Saksoft Limited 
[email protected]  
http://www.saksoft.com  

CIN: U74140MH2010PTC204285
Mr. Sagar Shroff / Ms. Ami Parekh
Strategic Growth Advisors
[email protected]
[email protected]  
+91-9820519303
+91-8082466052
http://www.sgapl.net  

Media Contact :
Karthik Subramanian
[email protected]
+91-9840905522
Head Marketing
Saksoft Limited

Modal title

Also from this source

Saksoft to Showcase 'SakCare' - AI-Powered Critical Service Response Solution for BFS at Dreamforce 2025

Saksoft to Showcase 'SakCare' - AI-Powered Critical Service Response Solution for BFS at Dreamforce 2025

Saksoft, a leader in digital transformation, will unveil SakCare, an AI-powered customer care and compliance solution for Banking and Financial...

More Releases From This Source

Explore

Computer & Electronics

Computer & Electronics

Networks

Networks

Networks

Networks

Computer Software

Computer Software

News Releases in Similar Topics

Contact PR Newswire

  • +91 22-69790010

Global Sites

  • APAC
  • APAC - Traditional Chinese
  • Asia
  • Brazil
  • Canada
  • Czech
  • Denmark
  • Finland
  • France
  • Germany

 

  • India
  • Indonesia
  • Israel
  • Italy
  • Mexico
  • Middle East
  • Middle East - Arabic
  • Netherlands
  • Norway
  • Poland

 

  • Portugal
  • Russia
  • Slovakia
  • Spain
  • Sweden
  • United Kingdom
  • United States

Do not sell or share my personal information:

  • Submit via [email protected] 
  • Call Privacy toll-free: 877-297-8921
Global Sites
  • Asia
  • Brazil
  • Canada
  • Czech
  • Denmark
  • Finland
  • France
  • Germany
  • India
  • Israel
  • Italy
  • Mexico
  • Middle East
  • Netherlands
  • Norway
  • Poland
  • Portugal
  • Russia
  • Slovakia
  • Spain
  • Sweden
  • United Kingdom
  • United States
+91 (0) 22 6169 6000
from 9 AM - 5:30 PM IST
  • Terms of Use
  • Privacy Policy
  • GDPR
  • Information Security Policy
  • Site Map
  • Cookie Settings
Copyright © 2026 Cision US Inc.